浮筒液位计的原理解析和校验方法
浮筒液位计设计于阿基米德浮力原理,用于连续测量工业应用中的液位的液位、界面或密度的仪表。浮筒液位计由表头与测量室、测量机构、浮筒、扭力管组件等组成。

按照浮筒安装位置,可以分为两种:
1.若装在设备内,称为内浮筒,也就是浮筒直接放进被测容器内部;
2.若装在设备外,称为外浮筒,也就是法兰盘将外壳接到被测液体容器。
检验方法——
对浮筒液位计进行检验,我们一般采用两种方法:挂重法和水校法。
挂重法:测量液位时,按照被校刻度的不同,调节重力,按照既定公示和算法,判断输出信号。
水校法:首先将变送器以工作的状态放置后,使其与连接法兰和盲板法兰进行连接,亦或是直接连接在装置上,关闭根部阀,从排污孔引出一根透明的软管,形成一个连通器,用来观察测量室水位;将变送器前盖扭开,连接电源正负极与仪表接线端正负极,然后用公示算出注水高度,并且以测量室外的半量程标线为基准线,做出相应的标记。
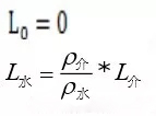
测量液位时:

测量界位时:

式中:
L0-零点水位的高度mm
Lm -满度时水位的高度mm
h –量程mm
ρ-被测介质的密度g/mm³
ρ1-测重介质密度g/mm³
ρ2 -被测轻介质密度g/mm³

